Iklan jawatan kosong telah baru dibuka. Jawatan kosong kali ini terbuka kepada sesiapa yang berminat untuk bekerja dalam skop perkhidmatan. ...
Iklan jawatan kosong telah baru dibuka. Jawatan kosong kali ini terbuka kepada sesiapa yang berminat untuk bekerja dalam skop perkhidmatan. Sila rujuk maklumat di bawah dan skroll sehingga ke bawah untuk mendapat borang permohonan.
Lokasi jawatan cawangan :
JAWATAN TETAP
Tarikh tutup permohonan : 14 Jun 2020
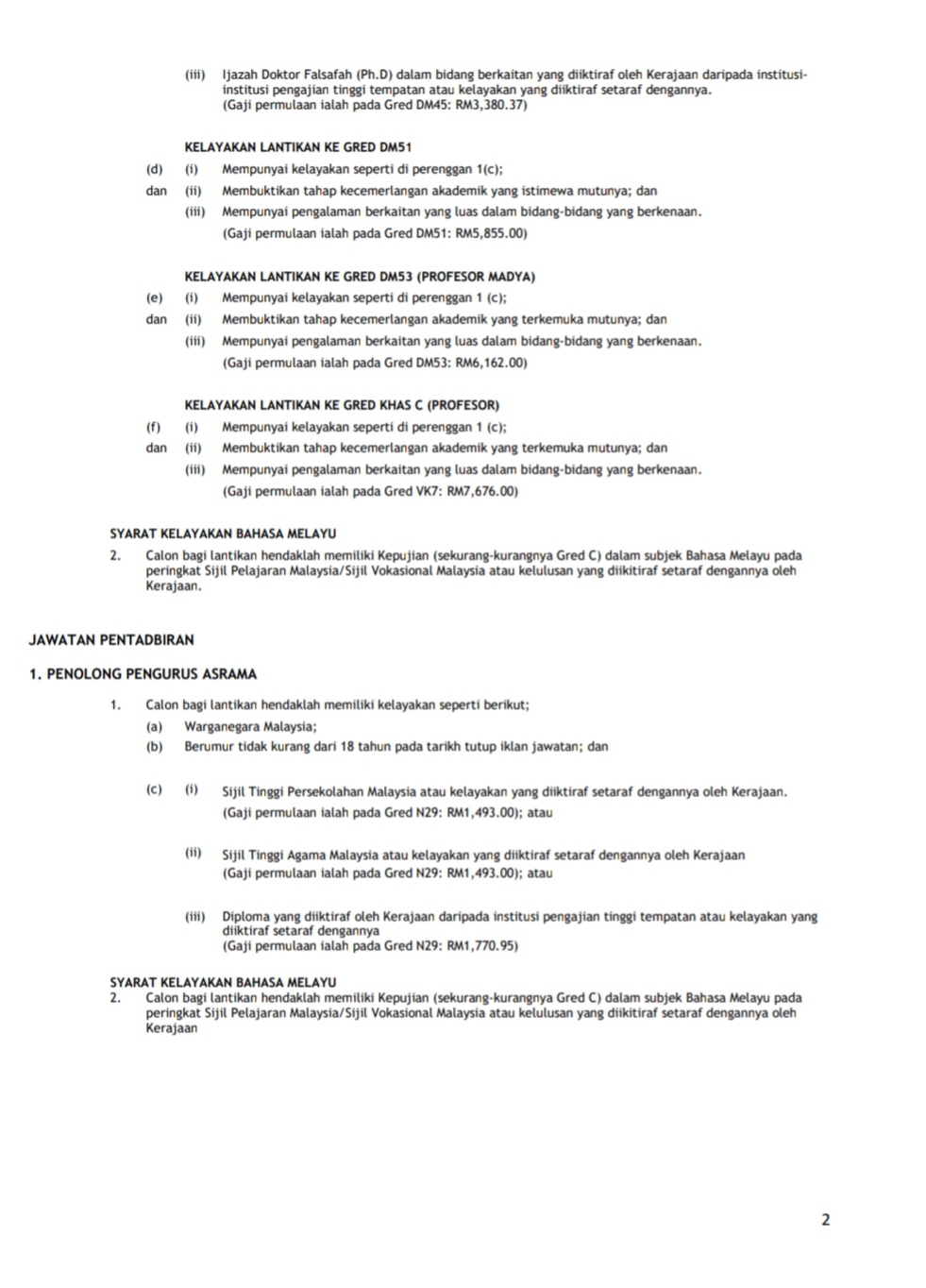
Jawatan Pentadbiran
Disclaimer : KERJASEMASA.COM hanya membantu mengiklankan jawatan kosong terkini di negara tetapi tidak terlibat sama sekali dalam pengambilan pekerja.
MAKLUMAT JAWATAN
MAJIKAN : UNIVERISITI TEKNOLOGI MARA (UITM)
Lokasi jawatan cawangan :
- Kampus Segamat
- Kampus Pasir Gudang
JAWATAN TETAP
Tarikh tutup permohonan : 14 Jun 2020
Jawatan Akedemik :
- Profesor - VK7
- Profesor Madya - DM53
- Pensyarah Kanan - DM 51
- Pensyarah - DM 45
- Penolong Pengurus Asrama
- Pembantu Tadbir
- Pemandu
SYARAT KELAYAKAN MINIMA
Terbuka kepada warganegara Malaysia yang berumur 18 tahun dan ke atas serta memiliki kriteria yang diperlukan
- Pemohon seorang yang boleh menggunakan aplikasi Microsoft Office dengan baik.
- Memiliki beberapan tahun pengalaman bekerja dalam bidang berkaitan ataupun tidak, mereka yang berminat dialukan-alukan untuk membuat permohonan di bawah.
- Pemohon haruslah seorang yang berpikiran kritis untuk mencapai objektif syarikat.
- Pemohon perlu menggalas tanggungjawab yang diberikan dengan sebaik mungkin
SYARAT-SYARAT LAIN YANG AKAN DITITIKBERATKAN
- Calon mempunyai semangat juang yang tinggi
- Berdisiplin dan berdedikasi tekun dan amanah dalam melaksanakan tugas
- Boleh bekerja lebih masa
- Boleh berkomunikasi dalam Bahasa Inggeris dan Bahasa Melayu dengan baik
- Calon mempunyai kemahiran interpersonal yang baik
MANFAAT YANG AKAN DITERIMA OLEH PEKERJA
Pelbagai jenis manfaat akan diterima kepada calon yang berhasil mendapat pekerjaan tersebut.
Antara manfaat-manfaat tersebut ialah
- Pekerja mampu mendapat wang bonus daripada syarikat
- Terdapat Overtime (OT) kepada pekerja yang menginginkan gaji lebih
- Majikan juga akan memberikan cuti tahunan kepada pekerja setelah bersusah-payah bekerja
- Pekerja juga tidak terlepas untuk mendapat Kumpulan Wang Simpanan Pekerja (KWSP) untuk kegunaan di hari tua dan waktu kecemasan
- PERKESO, SOCSO dan pelbagai lagi bantuan turut akan diberikan mengikut majikan
- Dan banyak lagi. Sila rujuk link di atas untuk melihat
CARA MEMBUAT PERMOHONAN KERJA
Kepada yang berminat untuk mendapatkan pekerjaan di atas. Kamu perlu membuat permohonan melalui e-permohonan iaitu secara online sahaja kecuali pekerjaan tertentu.
- Pemohon perlu membuka pautan yang akan diberikan di bawah
- Pemohon perlu menekan petikan yang bertulis APPLY NOW/MOHON DISINI atau mana-mana teks yang merujuk untuk membuat permohonan.
- Seterusnya, pemohon perlu memasukkan segala butiran yang diperlukan antaranya maklumat peribadi, pengalaman bekerja dan seterusnya. Jangan lupa untuk memuat naik resumen anda kepada majikan ya.
- Akhir sekali, anda perlu menunggu respon para majikan anda. Jika anda memohon pekerjaan swasta, pihak majikan mungkin akan menelefon, menghantar email kepada anda. Oleh itu, sentiasa menyemak dua benda tersebut. Manakala, bagi pekerjaan awam, jika anda membuat permohonan melalui SPA, anda perlu sentiasa menyemak permohonan anda laman web SPA. Pekerjaan awam juga turut boleh di temuduga melalui telefon bimbit.
Semoga info di atas mampu memberi manfaat kepada anda.
MAKLUMAT LANJUT DAN BORANG PERMOHONAN DISINI
PENTING
Sekiranya anda belum mempunyai akaun di dalam SPA, JOBSTREET, JOBSMALAYSIA, MAUKERJA dan laman sesawang pekerjaan yang lain, anda perlu membuat akaun terlebih dahulu di kolum yang tertera perkataan DAFTAR AKAUN/REGISTER atau yang sama maksud dengannya.






COMMENTS